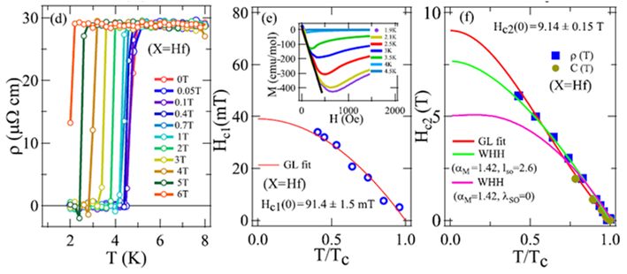
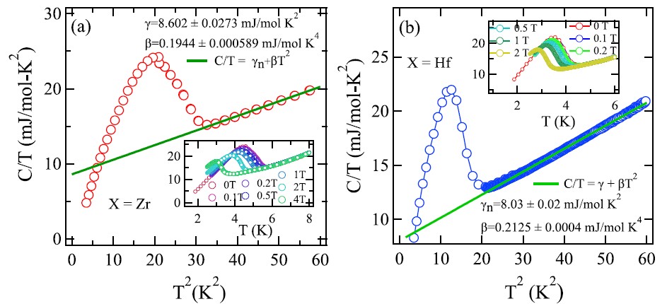
A research article by Dr Tanmoy Chakrabarty, Assistant Professor and Discipline Coordinator, Physics, SIAS titled Normal state and superconducting state properties of high entropy Ta0.2Nb0.2V0.2Ti0.2X0.2 (X = Zr and Hf) has been published in Physical Review Materials (“Scopus Q1” journal). In this publication, Dr Chakrabarty is one of the three corresponding authors. In this work, the team has reported a detailed theoretical and experimental investigation of high-entropy alloy superconductors Ta0.2Nb0.2V0.2Ti0.2X0.2 (X = Zr and Hf). The study unveils that both the materials crystallise in a body-centered-cubic structure (space group: Im-3m) and exhibit bulk superconductivity with a superconducting onset temperature of 5 K for X = Hf and 6.19 K for X = Zr sample. The detailed analysis, including magnetisation, resistivity, heat capacity measurements, and density functional theory (DFT) calculations indicates moderately coupled isotropic s-wave superconductivity in these materials. With the dynamical stability of these alloys, excellent normal state metallic nature, high microhardness, and high upper critical field; these samples emerge as potential candidates for future applications in superconducting devices.

