A research article by Dr Tanmoy Chakrabarty, Assistant Professor, Physics, SIAS titled CaFe2O(PO4)2: A compound with S=5/2 corner sharing triangular saw-tooth chains has been published in Physical Review B. In this publication, Dr Chakrabarty is one of the two corresponding authors.
Geometric frustration and one-dimensional magnetism boost quantum fluctuations and leads to unusual states of quantum matter. To explore these effects, we used solid state nuclear magnetic resonance (SSNMR), which is a strong local probe to extract the true spin susceptibility and the spin network of a magnetic system.

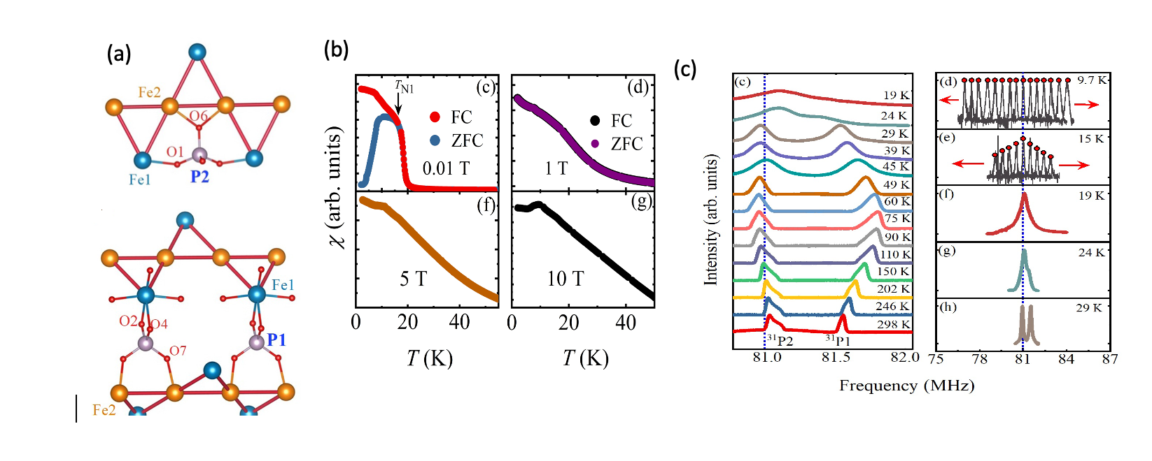
Here we studied the magnetic behaviour of a well-separated S = 5/2 saw-tooth spin chain compound CaFe2O(PO4)2, which has two different 31P sites in the unit cell. Magnetic susceptibility, heat capacity, and 31P NMR measurements show evidence of strong magnetic frustration (with a frustration parameter ≈ |θCW|/TN) about 70) in CFPO. The major finding of our work came from the NMR measurements which show a broad maximum near 70 K , reflecting the low-dimensional nature and presence of short-range correlations. It is important to note that such a broad maximum feature is not seen in the bulk χ(T) or in heat capacity. Further investigating this broad maximum feature, we conclude that CFPO represents an interesting realization of a frustrated S = 5/2 sawtooth spin-chain.

(a) local environment of P1 and P2 in CFPO. (b) (T) vs. T at various magnetic fields. (c) Plot of T-dependence of the normalized 31P NMR spectra measured as a function of frequency